- Giao hàng bởi nhân viên Viettel Post, VietNam Post...
- Giao hàng trên Toàn Quốc
- Nhận hàng rồi mới thanh toán tiền (COD)
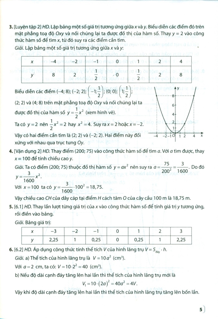
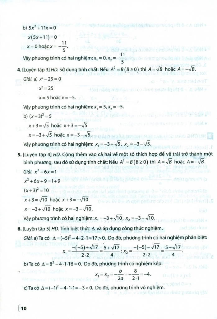
Tác giả: Doãn Minh Cường (Chủ biên) - Cung Thế Anh...
Nhà xuất bản: Giáo dục
Năm xuất bản: 2024
Số trang: 128
Khổ sách: 19 x 26.5 cm
Giao sách trên toàn quốc.
Sách được phát hành với giá ưu đãi...
Vui lòng liên hệ trực tiếp: 0908 016 729 - 0933 241 170
Email: sachtoancau@gmail.com - sachbacnam@gmail.com

Miễn phí vận chuyển
Cho hóa đơn trên 280.000đ