- Giao hàng bởi nhân viên Viettel Post, VietNam Post...
- Giao hàng trên Toàn Quốc
- Nhận hàng rồi mới thanh toán tiền (COD)
Tác giả: Phan Huy Khải (Chủ biên) - Nguyễn Phụ Hoàng Lân
Nhà xuất bản: Dân Trí
Năm xuất bản: 2025
Số trang: 208
Khổ sách: 19 x 26.5 cm
Giao sách trên toàn quốc.
Sách được phát hành với giá ưu đãi...
Vui lòng liên hệ trực tiếp: 0908 016 729 - 0933 241 170

Miễn phí vận chuyển
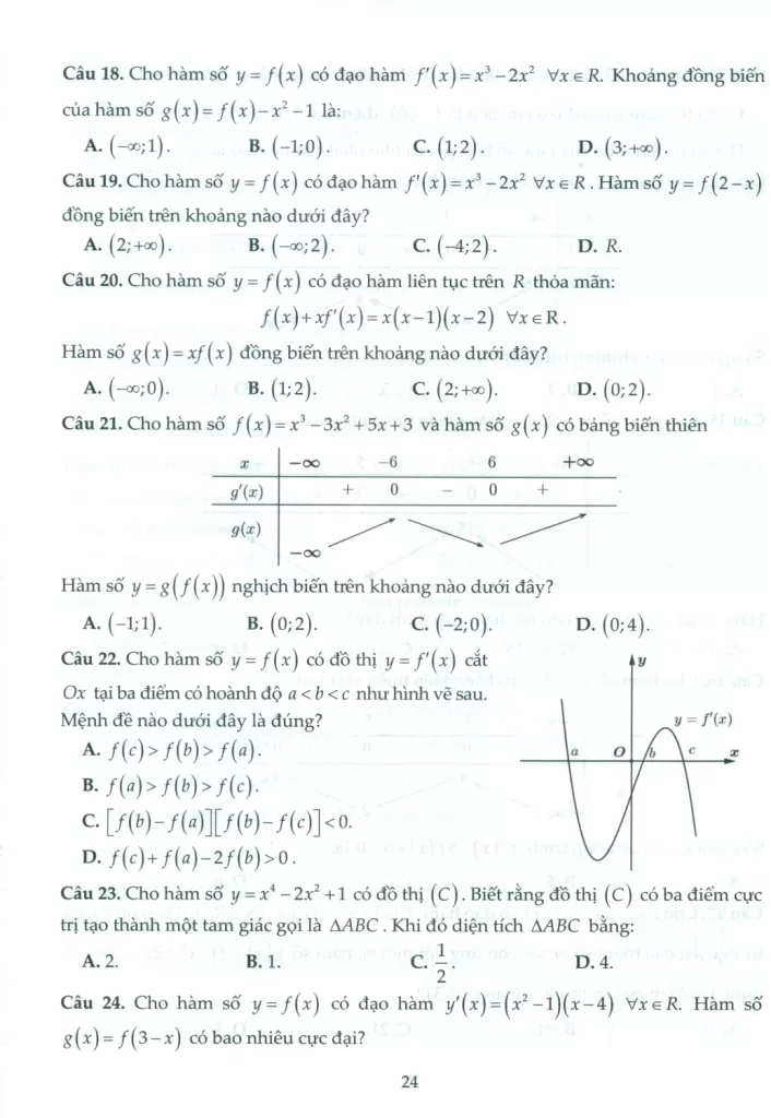
Cho hóa đơn trên 280.000đ